在与癌症这场残酷的战斗中,医学科研人员们一直在努力寻找更有效的“秘密武器”。T细胞受体工程化T细胞(TCR-T)疗法是近年来涌现出的一种极具潜力的新型癌症治疗方法。今天,咱们就一起来揭开它神秘的面纱。
什么是TCR-T细胞疗法
在我们的身体里,有一种非常重要的免疫细胞,叫做T细胞。它就像是身体里的“警察”,专门负责识别和清除那些“坏人”,比如癌细胞、病毒感染的细胞等。TCR-T细胞疗法,是将患者体内T细胞分离、纯化,利用基因工程技术通过病毒表达载体将特异性识别肿瘤抗原的TCR基因导入患者的T细胞中。转导成功的T细胞通过特异性的识别肿瘤细胞表面的HLA-A2/NY-ESO-1多肽表位复合体被激活,可特异性识别、杀伤各类恶性实体肿瘤。
操作流程如下:
1.鉴定出一种或多种肿瘤抗原作为治疗靶点;
2.获得特异识别肿瘤抗原的的TCR序列;
3.然后,通过基因工程技术,将编码抗原特异的TCR基因序列导入患者自身T细胞中,从而获得特异识别肿瘤抗原的TCR-T细胞;
4.TCR-T细胞通过体外培养进行大量扩增之后,回输到患者体内以杀死肿瘤细胞。

TCR-T细胞疗法与CAR-T细胞疗法的区别
相信很多朋友都对CAR-T细胞疗法有所耳闻。它和TCR-T细胞疗法有相似之处,都是通过改造患者自身的T细胞来治疗癌症,但CAR-T细胞装备的是嵌合抗原受体(CAR)。这个CAR可以直接识别癌细胞表面的抗原,就像给癌细胞安装了“雷达”一样。
而TCR-T细胞的-TCR,识别抗原的方式更“深入”,可以靶向胞内抗原,90%的蛋白都可以作为开发靶点。它不仅能识别癌细胞表面的抗原,还能识别癌细胞内部产生、然后呈递到细胞表面的抗原。这就好比CAR-T细胞是在外面抓“坏人”,而TCR-T细胞能发现藏在“坏人老巢”里的线索,识别范围更广。
众所周知,CAR-T细胞疗法目前在治疗一些血液系统癌症,比如白血病、淋巴瘤等方面取得了很好的效果。实体肿瘤就像是“堡垒”,CAR-T细胞有时候很难攻破,而TCR-T细胞有可能找到“堡垒”的弱点,发起攻击。
这是因为TCR-T细胞疗法能识别癌细胞内部的抗原,所以不仅能治疗血液系统肿瘤,对于实体肿瘤,比如肺癌、黑色素瘤、肝癌等,也有很大的治疗潜力。
虽然TCR-T细胞疗法仅在美国获批上市一款细胞产品,但国内外已经有不少令人鼓舞的临床数据及案例。
首次应用TCR-T细胞治疗肺癌并取得良好疗效
窦女士是一名肺癌患者,2012年不幸患上肺癌,因病情比较严重,不适宜手术治疗,于是接受了化疗,但遗憾的是,这次治疗并没有产生效果。
由于窦女士存在基因突变,于是在口服靶向药物治疗期间病情控制得比较满意,但很快便出现耐药,便换用另外一种靶向药并且联用了基因治疗,可是这次病情仅控制5个月便又迅速进展。出现胸部疼痛剧烈、咳血、气短的症状。经检测发现右侧胸腔已经被肿瘤及肿瘤阻塞的肺组织和胸水占满,右肺完全失去功能,肝脏上也出现了多个转移瘤。
在绝望之时,窦女士意外得知TCR-T细胞疗法,于是毅然加入TCR-T细胞的临床研究。幸运的是,窦女士这次治疗很快显示出效果,胸痛明显减轻,止痛药只要吃一半的量就起效,气短消失,咳血也停止了,肿瘤标志物下降超过一半。治疗后1个月复查时,发现肿瘤明显缩小,原肺病变大小从95×86×54mm减少到64×44×54mm。胸水显著减少,治疗前完全阻塞的右肺部分张开,肝上的肿瘤也从 19.8×19.6×20mm减少到10×10×10mm。

图片源于Oncology Letters
五年抗癌拉锯战终结者:TCR疗法实现晚期肉瘤三年零复发
早在2019年6月,天津医科大学肿瘤研究所人员便在《细胞死亡与疾病》(Cell Death & Disease)发表了题为:T-cell receptor gene therapy targeting melanoma-associated antigen-A4 by silencing of endogenous TCR inhibits tumor growth in mice and human的研究论文,文中报告了一例用MAGE-A4-si-TCR/HLA-a*2402基因修饰的T细胞治疗的子宫平滑肌肉瘤的成功病例。

图片源于细胞死亡与疾病
该患者于2014年8月14日诊断为子宫平滑肌肉瘤,并接受了手术。并在2014年9月18日至2014年11月11日期间接受了3个周期的辅助化疗,之后又进行了盆腔野辅助放疗。但5个月后,检查显示双肺转移。
2015年6月15日,接受了贝伐珠单抗联合化疗,遗憾的是,1个月后CT扫描显示疾病进展。于是2015年7月至2015年10月期间,该患者接受了二线化疗。幸运的是,该患者达到完全缓解(CR)状态。
由于肿瘤负荷较低,于是进行TCR基因修饰的细胞治疗。截至2019 年3月15日,该患者已经保持完全缓解状态超过3年!

图片源于细胞死亡与疾病
虽然患者在最后一轮化疗后已经出现完全缓解,但检测结果表明了si-TCR细胞在患者血液中的持久性。这些发现说明si-TCR免疫治疗是患者维持长期保持完全缓解状态的原因。
荷兰团队TCR-T疗法早期数据揭示黑色素瘤治疗潜力
2022年9月,荷兰癌症研究所人员在《IMMUNO-ONCOLOGY AND TECHNOLOGY》报告其进行的I/IIa期试验(NCT02654821)结果。

图片源于Immuno-Oncology and Technology
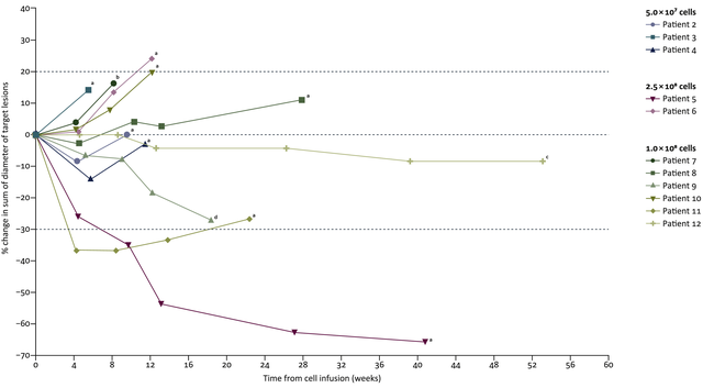
该试验中,研究人员开发了一种用MART-1特异性TCR转导的自体外周血衍生T细胞(1D3HMCys),12例黑色素瘤患者接受了1D3HMCys T细胞治疗。结果显示:11例可评估的患者中有2例达到客观部分缓解,另外5例患者观察到轻微的肿瘤缩小。

图片源于Immuno-Oncology and Technology
患者5在细胞输注9.5周后达到部分缓解(PR),反应持续时间为7.1个月。

图片源于Immuno-Oncology and Technology
晚期非小细胞肺癌新希望?TCR-T细胞疗法lete-cel初步研究显示疾病控制潜力
近日,纪念斯隆-凯特琳癌症中心研究人员在《CLINICAL CANCER RESEARCH》发表了lete-cel在晚期非小细胞肺癌中的两项初步研究数据。
研究208749是一项单臂研究,评估lete-cel在IIIB期或IV期或复发性非小细胞肺癌患者中的安全性和临床活性。
研究208471是一项多臂Ib/IIa期研究,评估lete-cel单独使用(A组)或与pembrolizumab(B组和C组)联合治疗IIIB期或IV期非小细胞肺癌患者的安全性和临床活性。
HLA-A*02和抗原表达阳性的患者中,有41名患者进行单臂研究,9例患者接受了白细胞去除术,其中5例患者接受了淋巴细胞清除和T细胞输注。5例患者中有1例在首次T细胞输注后确认了部分缓解(PR),1例患者病情稳定(SD)。多臂研究中,共有34名患者接受了白细胞去除术,其中13名接受了淋巴细胞清除和lete-cel输注。lete-cel单药治疗组中有6例患者病情稳定(SD),lete-cel联合pembrolizumab组中有2例患者最佳反应为病情稳定,无患者出现部分缓解或完全反应。

图片源于Clin Cancer Res
单臂研究中患者S5既往接受过三线化疗和免疫疗法(nivolumab)治疗,第一次输注时该患者达到部分缓解(PR)状态,第一次输注后约28周,该患者接受第二次输注,达到病情稳定,非靶病变完全缓解。

图片源于Clin Cancer Res
结语
TCR-T细胞疗法就像是一颗冉冉升起的新星,为癌症患者带来了新的希望。不过,我们也要清楚地认识到,TCR-T细胞疗法并不是万能的。目前它还存在一些局限性,比如治疗费用比较高,制备过程复杂,不是所有患者都适合等。而且,在大规模的临床试验中,还需要进一步验证它的长期疗效和安全性。
尽管TCR-T细胞疗法还面临着一些挑战,但它的发展前景依然十分广阔。随着科技的不断进步,我们相信它会越来越成熟。
未来,TCR-T细胞疗法会在癌症治疗领域发挥越来越重要的作用,帮助更多的患者战胜病魔,重新拥抱健康美好的生活。让我们一起期待那一天的到来吧!